
EPDM Elastomere
Quelle: Fachbereich Sicherheit von Lagerbehältern
Wesentliche Aufgabe des Fachbereiches „Sicherheit von Lagerbehältern“ der Bundesanstalt für Materialforschung und -prüfung (BAM) ist die Sicherheitsbewertung von Zwischen- und Endlagerbehältern für radioaktive Abfälle. Sehr wesentlich ist dabei eine hinreichende Abdichtung von verschraubten Deckelsystemen zum sicheren Einschluss der Abfälle für Transport-, Zwischen- und Endlagerung. Bei Behältern für Abfälle mit vernachlässigbarer Wärmeentwicklung, d.h. schwach- und mittelradioaktive Abfälle, kommen dabei u. a. auch Elastomer-O-Ringe zum Einsatz, deren Dichtwirkung durch anhaltende mechanische Spannung des verpressten Elastomer-O-Rings aufrechterhalten wird.

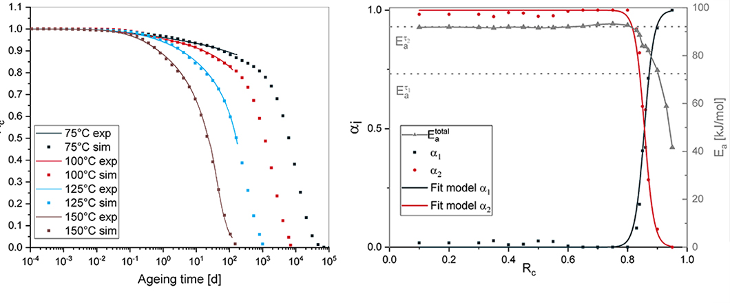
Experimentelle und Simulationsergebnisse der Druckspannungsrelaxation Rc (links), Evolution der Abbauprozesse (rechts)
Quelle: BAM, Fachbereich Sicherheit von Lagerbehältern
Um die Prognosemöglichkeit für die langfristige Spannungsrelaxation von Elastomeren während der thermo-oxidativen Alterung zu verbessern, wurde eine neue Methode zur Separation von reversiblen und irreversiblen Prozessen angewendet. Diese Separation erfolgt durch die Analyse des Gleichgewichtswertes des Druckverformungsrests nach einer zusätzlichen Temperung. Auf dieser Grundlage wird anhand einer User-Subroutine (UMAT) im Finite-Elemente-Programmcode ABAQUS® ein numerisches Modell für die langfristige Spannungsrelaxation während der homogenen Alterung entwickelt. Das Modell besteht aus additiven Beiträgen aus der physikalischen und chemischen Relaxation. Computersimulationen der Druckspannungsrelaxation wurden für lange Alterungszeiten durchgeführt und basierend auf den Messdaten (bei 75 °C, 100 °C, 125 °C und 150 °C für bis zu 170 Tage) mit dem sog. „Arrhenius-Ansatz“, einer kinetischen Analyse und den Ergebnissen einer Zeit-Tempertatur-Verschiebung validiert. Auf physikalischen und chemischen Prozessen basierende Simulationen erlaubten hierbei die Berechnung von Degradationsraten und die Beschreibung irreversibler chemischer Relaxationsprozesse auch in niedrigen Temperaturbereichen, in denen aufgrund der notwendigen Messzeiten nur begrenzt experimentelle Ergebnisse vorliegen. Zur Modellierung der chemischen Relaxation werden zwei Zerfallsfunktionen mit jeweils eigener Aktivierungsenergie und eigenem Abbauprozess eingeführt, die unterschiedlichen Alterungszeiten zugeordnet werden konnten. Ein auf der Degradationsrate basierendes Modell für die Entwicklung jedes Prozesses und seines Beitrages zur homogenen Alterung des Gesamtsystems wird vorgeschlagen. Der Hauptvorteil des Modells besteht in der Möglichkeit, für niedrige Temperaturen im Bereich langsamer chemischer Prozesse eine Interpolation der Degradationsraten durchzuführen, ohne auf zeitintensive Messreihen angewiesen zu sein, um eine lineare „Arrhenius“- Extrapolation bestimmen zu können.
Erroneous or Arrhenius: A Degradation Rate-Based Model for EPDM during Homogeneous Ageing
Maha Zaghdoudi, Anja Kömmling, Matthias Jaunich, Dietmar Wolff
erschienen in Polymers, Band 9, Heft 12, Seite 2152 ff
BAM Fachbereich Sicherheit von Lagerbehältern